Lihat 15+ soal basis data pilihan ganda beserta jawabannya Berikut latihan soal yang sementara admin buat. Daftar ki dan kd ipa smp mts kurikulum 2013 revisi 2017 2018 kelas 7 8 dan 9. Usus halus dan lambung e. Lihat juga soal:basis dan soal basis data pilihan ganda beserta jawabannya Posting Lebih Baru Posting Lama Beranda.
Kumpulan data berisi informasi yang sesuai untuk sebuah perusahaan b. Sikap politik di mana warga negara aktif dan reaktif serta suka menanggapi suatu keadaan adalah.
Berikut data lengkap tentang contoh soal pilihan ganda tentang suggestion and offer. 40 Kumpulan Soal Pilihan Ganda Dan Kunci Jawaban Manajemen Basis Data Tentang Join Table Dan Trigger Berbagiruang
| Contoh Soal: 40 Kumpulan Soal Pilihan Ganda Dan Kunci Jawaban Manajemen Basis Data Tentang Join Table Dan Trigger Berbagiruang 50 Contoh Soal Dan Jawaban Desain Grafis Smk Manglada Tech. |
| Format file: JPEG |
| Ukuran file: 6mb |
| Ukuran kertas soal: Letter |
| Tanggal pembuatan soal: September 2018 |
| Jumlah soal 40 Kumpulan Soal Pilihan Ganda Dan Kunci Jawaban Manajemen Basis Data Tentang Join Table Dan Trigger Berbagiruang : 242 Halaman |
| Lihat 40 Kumpulan Soal Pilihan Ganda Dan Kunci Jawaban Manajemen Basis Data Tentang Join Table Dan Trigger Berbagiruang |
Soal pilihan ganda beserta jawabanya tentang mysql 1.
Basis data yang digunakan untuk komunikasi antara computer perangkat termasuk telephone dan asisten pribadi digital. Titan ferry nn absen. Soal Pilihan Ganda Basis Data Dan Jawabannya Kumpulan Data Penting. 0 Response to 40 Soal Basis Data Lengkap Dengan Kunci Jawaban Posting Komentar. Soal Dan Jawaban K3lh Pdf. 20210128 Contoh Soal UTS Praktikum Sistem Basis Data beserta jawabannya Soal dan Jawaban Sistem Basis Datadocx Sistem Basis Data Soal UTS Normalisasi ERD Skema Basis data mldr.
Contoh Soal Pilihan Ganda Spreadsheet Dan Jawabannya is top nude porn. Kumpulan Soal Pilihan Ganda Dan Kunci Jawaban Manajemen Basis Data Tentang Database Structure Berbagiruang
| Contoh Soal: Kumpulan Soal Pilihan Ganda Dan Kunci Jawaban Manajemen Basis Data Tentang Database Structure Berbagiruang Pelajari 40 contoh soal latihan basis data pilihan ganda beserta jawabannya untuk smk rpl kelas 11 semester 1 dan 2 atau mahasiswa it. |
| Format file: PPT |
| Ukuran file: 2.3mb |
| Ukuran kertas soal: Folio |
| Tanggal pembuatan soal: Juli 2017 |
| Jumlah soal Kumpulan Soal Pilihan Ganda Dan Kunci Jawaban Manajemen Basis Data Tentang Database Structure Berbagiruang : 306 Halaman |
| Lihat Kumpulan Soal Pilihan Ganda Dan Kunci Jawaban Manajemen Basis Data Tentang Database Structure Berbagiruang |
Jawab - Bentuk normal pertama 1NF. Blanko Soal Pilihan Ganda 1 2008
| Contoh Soal: Blanko Soal Pilihan Ganda 1 2008 Contoh Soal Beserta Jawaban Megevaluasi Firewall Ilmusosial Id. |
| Format file: Docx |
| Ukuran file: 2.3mb |
| Ukuran kertas soal: A4 |
| Tanggal pembuatan soal: Agustus 2019 |
| Jumlah soal Blanko Soal Pilihan Ganda 1 2008: 339 Halaman |
| Lihat Blanko Soal Pilihan Ganda 1 2008 |

Soal Basis Data Pilihan Ganda Beserta Jawabannya Kelas Programmer. 50 Soal Pilihan Ganda Dan Kunci Jawaban Manajemen Basis Data Untuk Latihan Ujian Tengah Semester Berbagiruang
| Contoh Soal: 50 Soal Pilihan Ganda Dan Kunci Jawaban Manajemen Basis Data Untuk Latihan Ujian Tengah Semester Berbagiruang Contoh Soal Microsoft Word Beserta Jawabannya Kumpulan Soal Pelajaran 7. |
| Format file: Docx |
| Ukuran file: 3mb |
| Ukuran kertas soal: Folio |
| Tanggal pembuatan soal: Januari 2018 |
| Jumlah soal 50 Soal Pilihan Ganda Dan Kunci Jawaban Manajemen Basis Data Untuk Latihan Ujian Tengah Semester Berbagiruang : 184 Halaman |
| Lihat 50 Soal Pilihan Ganda Dan Kunci Jawaban Manajemen Basis Data Untuk Latihan Ujian Tengah Semester Berbagiruang |

Free download Contoh Soal Pilihan Ganda Spreadsheet Dan Jawabannya naked photos with high resolution on Free Nude Porn Photos contoh soal pilihan ganda spreadsheet dan jawabannya Naked. Soal Basis Data Pilihan Ganda Beserta Jawabannya Primary Key
| Contoh Soal: Soal Basis Data Pilihan Ganda Beserta Jawabannya Primary Key Pas banget ini admin ada tugas buat upload latihan soal mata pelajaran basis data. |
| Format file: Docx |
| Ukuran file: 1.4mb |
| Ukuran kertas soal: Letter |
| Tanggal pembuatan soal: Januari 2018 |
| Jumlah soal Soal Basis Data Pilihan Ganda Beserta Jawabannya Primary Key: 241 Halaman |
| Lihat Soal Basis Data Pilihan Ganda Beserta Jawabannya Primary Key |

Deklarasi pembuangan limbah daur ulang dalam bisnis pengrajin adalah a. Soal Soal Basis Data
| Contoh Soal: Soal Soal Basis Data Oiya soal yang kakak berikan ini adalah soal pilihan ganda dan soal Essay. |
| Format file: Docx |
| Ukuran file: 1.6mb |
| Ukuran kertas soal: Folio |
| Tanggal pembuatan soal: September 2021 |
| Jumlah soal Soal Soal Basis Data: 257 Halaman |
| Lihat Soal Soal Basis Data |
Contoh Soal Database Mysql Rpl Kelas Xi Beserta Jawabannya Part 1. Soal Uts Basis Data Pilihan Ganda
| Contoh Soal: Soal Uts Basis Data Pilihan Ganda Basis data yang digunakan untuk komunikasi antara computer perangkat termasuk telephone dan asisten pribadi digital. |
| Format file: Docx |
| Ukuran file: 1.9mb |
| Ukuran kertas soal: A3 |
| Tanggal pembuatan soal: Juni 2020 |
| Jumlah soal Soal Uts Basis Data Pilihan Ganda: 135 Halaman |
| Lihat Soal Uts Basis Data Pilihan Ganda |
Soal Pilihan Ganda Basis Data Dan Jawabannya Kumpulan Data Penting. Contoh Soal Pilihan Ganda Basis Data Dan Jawabannya Dapatkan Contoh
| Contoh Soal: Contoh Soal Pilihan Ganda Basis Data Dan Jawabannya Dapatkan Contoh Titan ferry nn absen. |
| Format file: PDF |
| Ukuran file: 2.2mb |
| Ukuran kertas soal: Folio |
| Tanggal pembuatan soal: April 2019 |
| Jumlah soal Contoh Soal Pilihan Ganda Basis Data Dan Jawabannya Dapatkan Contoh: 175 Halaman |
| Lihat Contoh Soal Pilihan Ganda Basis Data Dan Jawabannya Dapatkan Contoh |

50 Soal Pilihan Ganda Dan Kunci Jawaban Manajemen Basis Data Untuk Latihan Ujian Berbagiruang
| Contoh Soal: 50 Soal Pilihan Ganda Dan Kunci Jawaban Manajemen Basis Data Untuk Latihan Ujian Berbagiruang |
| Format file: PPT |
| Ukuran file: 1.8mb |
| Ukuran kertas soal: Letter |
| Tanggal pembuatan soal: Desember 2020 |
| Jumlah soal 50 Soal Pilihan Ganda Dan Kunci Jawaban Manajemen Basis Data Untuk Latihan Ujian Berbagiruang : 294 Halaman |
| Lihat 50 Soal Pilihan Ganda Dan Kunci Jawaban Manajemen Basis Data Untuk Latihan Ujian Berbagiruang |

Soal Basis Data Rpl Kunci Jawaban 2020 Fivser
| Contoh Soal: Soal Basis Data Rpl Kunci Jawaban 2020 Fivser |
| Format file: PDF |
| Ukuran file: 1.5mb |
| Ukuran kertas soal: A4 |
| Tanggal pembuatan soal: Maret 2018 |
| Jumlah soal Soal Basis Data Rpl Kunci Jawaban 2020 Fivser: 131 Halaman |
| Lihat Soal Basis Data Rpl Kunci Jawaban 2020 Fivser |

Kumpulan Soal Pilihan Ganda Dan Kunci Jawaban Manajemen Basis Data Tentang Normalization Berbagiruang
| Contoh Soal: Kumpulan Soal Pilihan Ganda Dan Kunci Jawaban Manajemen Basis Data Tentang Normalization Berbagiruang |
| Format file: Docx |
| Ukuran file: 2.1mb |
| Ukuran kertas soal: Letter |
| Tanggal pembuatan soal: Maret 2020 |
| Jumlah soal Kumpulan Soal Pilihan Ganda Dan Kunci Jawaban Manajemen Basis Data Tentang Normalization Berbagiruang : 341 Halaman |
| Lihat Kumpulan Soal Pilihan Ganda Dan Kunci Jawaban Manajemen Basis Data Tentang Normalization Berbagiruang |

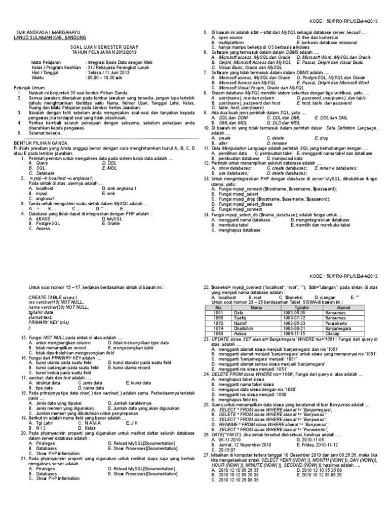
Soal Integrasi Basis Data Dg Web Xi Rpl Pdf
| Contoh Soal: Soal Integrasi Basis Data Dg Web Xi Rpl Pdf |
| Format file: Docx |
| Ukuran file: 3mb |
| Ukuran kertas soal: A4 |
| Tanggal pembuatan soal: September 2021 |
| Jumlah soal Soal Integrasi Basis Data Dg Web Xi Rpl Pdf: 189 Halaman |
| Lihat Soal Integrasi Basis Data Dg Web Xi Rpl Pdf |
Demikianlah Postingan tentang soal basis data pilihan ganda beserta jawabannya, Soal integrasi basis data dg web xi rpl pdf 50 soal pilihan ganda dan kunci jawaban manajemen basis data untuk latihan ujian berbagiruang soal basisdata sql kumpulan soal pilihan ganda dan kunci jawaban manajemen basis data tentang database structure berbagiruang kumpulan soal pilihan ganda dan kunci jawaban manajemen basis data tentang normalization berbagiruang soal basis data rpl kunci jawaban 2020 fivser contoh soal pilihan ganda basis data dan jawabannya dapatkan contoh membuat soal pilihan ganda php mysql, semoga bermanfaat.


FOLLOW THE Lihat Contoh Soal Paling Lengkap AT TWITTER TO GET THE LATEST INFORMATION OR UPDATE
Follow Lihat Contoh Soal Paling Lengkap on Instagram to get the latest information or updates
Follow our Instagram